बस्तर में नक्सल ऑपरेशन: 295 पुलिसकर्मियों को ‘आउट ऑफ टर्न’ प्रमोशन का तोहफा

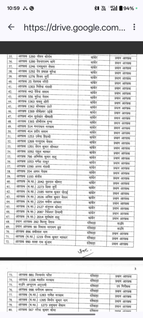
रायपुर, 30 मई 2025: छत्तीसगढ़ सरकार ने नक्सल विरोधी अभियानों में उत्कृष्ट प्रदर्शन करने वाले 295 पुलिसकर्मियों को बड़ा इनाम दिया है। बस्तर संभाग में तैनात इन जांबाज जवानों को उनके अदम्य साहस, समर्पण और प्रभावी प्रदर्शन के लिए “आउट ऑफ टर्न” प्रमोशन (पद से ऊपर पदोन्नति) दी गई है। यह कदम राज्य सरकार की ओर से पुलिसबल के मनोबल को बढ़ाने और नक्सलवाद के खिलाफ लड़ाई में उनकी भूमिका को सम्मान देने का एक महत्वपूर्ण प्रयास है।
सिपाही से लेकर सब इंस्पेक्टर तक शामिल:
पदोन्नति पाने वाले इन पुलिसकर्मियों में निचले स्तर के सिपाही से लेकर उप निरीक्षक (सब इंस्पेक्टर) स्तर तक के अधिकारी शामिल हैं। यह दर्शाता है कि नक्सल मोर्चे पर हर स्तर पर तैनात जवानों के योगदान को सराहा गया है। इस निर्णय से उन पुलिसकर्मियों को विशेष प्रोत्साहन मिलेगा जो अपनी जान जोखिम में डालकर राज्य की सुरक्षा सुनिश्चित कर रहे हैं।
डीजीपी ने जारी की सूची:
इस संबंध में पुलिस महानिदेशक (DGP) अरुण देव गौतम ने पदोन्नत पुलिसकर्मियों की विस्तृत सूची जारी कर दी है। इस सूची के जारी होने के बाद बस्तर संभाग में खुशी की लहर दौड़ गई है। लंबे समय से नक्सल प्रभावित क्षेत्रों में तैनात पुलिसकर्मी इस प्रकार की पदोन्नति का इंतजार कर रहे थे, जिससे उनके समर्पण और बलिदान को उचित सम्मान मिल सके।
नक्सल मोर्चे पर महत्वपूर्ण कदम:
यह “आउट ऑफ टर्न” प्रमोशन राज्य सरकार की नक्सल विरोधी रणनीति का एक अहम हिस्सा माना जा रहा है। इससे न केवल पुलिसकर्मियों का मनोबल बढ़ेगा, बल्कि उन्हें और अधिक लगन और उत्साह के साथ अपने कर्तव्यों का निर्वहन करने की प्रेरणा मिलेगी। यह कदम यह भी संदेश देता है कि सरकार अपने उन जवानों के साथ खड़ी है जो देश की आंतरिक सुरक्षा के लिए हर चुनौती का सामना कर रहे हैं।
बस्तर में शांति बहाली की उम्मीद:
बस्तर संभाग, जो लंबे समय से नक्सलवाद की चपेट में है, में ऐसे प्रोत्साहन निश्चित रूप से शांति बहाली के प्रयासों को गति देंगे। इन पदोन्नतियों से यह उम्मीद की जा रही है कि नक्सल विरोधी अभियानों में और अधिक तीव्रता आएगी और बस्तर में शांति और सामान्य जनजीवन की स्थापना में मदद मिलेगी। यह निर्णय उन सभी पुलिसकर्मियों के लिए एक प्रेरणा स्रोत बनेगा जो देश सेवा में अपना सर्वस्व न्यौछावर करने को तत्पर रहते हैं।











